Improve gamma-aminobutyricacid production in Corynebacterium glutamicum by optimizing the metabolic fux
通讯作者:王小元,江南大学
发表杂志:Systems Microbiology and Biomanufacturing
发表时间:2021.10
DOI:10.1016/j.biortech.2021.125799
研究背景:
γ-氨基丁酸(GABA)是一种重要的非蛋白类氨基酸,被广泛应用于制药,畜牧,食品添加剂等行业。为了得到高产γ-氨基丁酸的谷氨酸棒杆菌,该研究以C. glutamicum ATCC13032的衍生菌CGY700为出发菌进行了一系列基因改造。

摘要:
本研究通过构建CO2回补反应和过表达柠檬酸合酶来提高CGY700的γ-氨基丁酸产量。质粒过表达ppc和gltA,敲除pknG和ldh,进一步过表达glnA2,获得改造菌CGY-PG-304。CGY-PG-304摇瓶培养可产生41.17g/L的γ-氨基丁酸,补料分批发酵可产生58.33 g/L的γ-氨基丁酸,转化率为0.30 g/g葡萄糖。

研究内容:
一、前期探索工作
乳酸代谢是氨基酸生物合成的主要副产物,而编码L-乳酸脱氢酶的ldh是生物合成乳酸的关键基因。以CGY700为出发菌,敲除ldh得到菌株CGY705,该菌株的GABA产量可达22.40g/L,较出发菌(19.14g/L)提高了17.0%。谷氨酸是GABA合成的主要前提物,而2-酮戊二酸是谷氨酸合成的主要前提物,去磷酸化的OdhI可以抑制2-酮戊二酸脱氢酶的活性,使更多的2-酮戊二酸用于谷氨酸合成。丝氨酸/苏氨酸蛋白激酶G(pknG)可以使OdhI磷酸化,因此,在CGY700的基础上敲除pknG使2-酮戊二酸脱氢酶活性降低,得到菌株CGY707,该菌株的GABA产量可达20.84g/L(Fig.2)。

2. ppc和gltA的共表达
柠檬酸的合成是谷棒中TCA循环的限速步骤,而柠檬酸合酶由gltA编码。理论上,通过过表达磷酸烯醇式丙酮酸羧化酶(ppc)、磷酸烯醇式丙酮酸羧化激酶(pck)、丙酮酸羧化酶(pyc)加强丙酮酸羧化反应能够驱动代谢流进入TCA循环。因此,以CGY700为出发菌,共表达大肠来源的ppc1和gltA,分别构建了菌株CGY700-ppc1-gltA,CGY700-pck-gltA和CGY700-pyc-gltA。与出发菌相比,3株实验菌的GABA摩尔产量可达267.27,205.52 和208.56mmol/L(Fig.3)。CGY700-ppc1-gltA表现出了最高的潜在生产力。

由于大肠杆菌来源的ppc1和gltA共表达提高了GABA的产量,我们将这两个基因分别置于不同的启动子Ptac和PtacM下,优化了它们的表达水平。通过编程得到了6种模式,以CGY700为出发菌,构建了CGY700A, CGY700B, CGY700C, CGY700D,CGY700E, 和 CGY700F六株菌(Fig.4)。CGY700E的GABA产率最高,发酵72 h可产16.86 g/L。因此,PtacM-ppc1-Ptac-gltA为**的表达模式,更有利于谷棒中GABA的合成。

3. ldh、pknG、alaT、glnA2突变体的构建
丙氨酸合成和谷氨酰胺合成是谷氨酸合成的主要代谢旁路,其中,alaT编码PLP依赖性转氨酶,glnA2编码谷氨酰胺合成酶。在正常条件下,GlnA2主要催化谷氨酰胺降解为谷氨酸。以CGY700为出发菌,ldh、pknG、alaT敲除、Ptac-glnA2不同组合,构建了CGY705E,CGY707E,CGY708E,CGY709E和CGY710E。其中,与出发菌相比,ldh和pknG共删除的菌株CGY-708E的GABA产量提升最多,增加了86.7%,葡萄糖消耗量增加了54.6%(Fig.5)。

二、有效基因改造的整合
1. 谷棒染色体中共表达ppc2和gltA促进GABA合成
以CGY700为出发菌,采用质粒pCCG1共表达ppc2和gltA构建菌株CGY-PG-100,CGY-PG-200,CGY-PG-300和 CGY-PG-400。摇瓶发酵结果显示,CGY-PG-300(PtacM-ppc2-Ptac-gltA)得到了最高的谷氨酸含量26.36g/L和最高的GABA产量23.63g/L。因此PtacM-ppc2-Ptac-gltA表达模式最有利于GABA合成。与出发菌CGY700相比,CGY-PG-300的GABA产量增加了23.5%(Fig.6)。

2. CGY-PG-300中ldh、pknG、glnA2突变体的构建
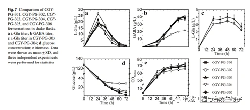
以CGY-PG-300为出发菌,通过编程设计,构建ldh、pknG、alaT删除、glnA2过表达不同组合的突变体,得到菌株CGY-PG-301,CGY-PG-302,CGY-PG-303,CGY-PG-304,CGY-PG-305和CGY-PG-306。发酵结果显示,ldh、pknG共删除并过表达glnA2(porB::Ptac-glnA2)的菌株CGY-PG-304的GABA产量最高,增加到了41.17g/L(Fig.7)。

三、发酵工艺优化:在2.4L发酵罐中分批发酵CGY-PG-304
谷氨酸合成的**pH值是6.8-7.5,而GABA合成的**pH值为4.0-5.5。因此,采用基于pH值控制的两步发酵法生产GABA是**的。分批发酵72h后,GABA达到最大产量58.33g/L,收率为0.30g/g 葡萄糖。